지금 제어를 공부한다고 해놓고서
매트랩을 설치해야 한다
매트랩의 기본 사용법을 알아야 한다!
무언가 제어랑 상관없어 보이는 일들을 수행하였습니다.
한가지만 더 알고 가겠습니다.
바로 지수함수 입니다.
지수함수를 한번 그려 보도록 하겠습니다.
대단히 중요한 내용입니다.
먼저 아래와 같이 2개의 지수함수를 한번 그려볼게요.
y1 = e^t
y2 = e^(t/2)
그래프입니다.
전형적인 지수 함수 그래프 입니다.
그러면

그러면 이번에는 아래와 같은 그래프를 한번 그려 보도록 하겠습니다.
y1 = e^(-t)
y2 = e^(-t/2)

좋습니다.
이번에는 아래와 같은 그래프를 그려보도록 하겠습니다.
y1 = -e^(-t)
y2 = -e^(-t/2)

마지막으로 하나만 더 그래프를 그려 보도록 하겠습니다.
y1 = 1-e^(-t)
y2 = 1-e^(-t/2)
그리고 시간축을 조금 더 늘려 보도록 하겠습니다.

지금 이 그래프를 잘 기억해 주세요.
무언가 닮아 보이지 않나요?

제가 RPM 제어를 할때의 움직임과 많이 닮아 보입니다.
DC모터에 전압을 갑자기 많이 주게 되면
속도가 확 높아지게 되는데요.
그때 그래프랑 많이 비슷해 보입니다.
마치 위의 그래프에서 조금만 수정하면
마치 모터의 특성을 나타내는 함수가 만들어질것 같습니다. ㅎㅎ
y1 = 1-e^(-t)
y2 = 1-e^(-t/2)
이렇게 한번 만들어 볼까요?
y1 = k(1-e^(-t/tau))
k를 곱하면 1이 아닌 더큰 값 비례해서 움직일 것 같습니다.
그리고 tau값을 조절하면 저 그래프가 올라가는 속도를 조절할수 있을 것 같습니다.
tau값이 클수록 올라가는 속도가 조금 줄어들고 있습니다.
아래와 같이 0.632까지 올라오는데
빨강색 그래프는 1초가 걸리고
파랑색 그래프는 2초가 걸립니다.

아주 중요한 정보를 얻었습니다.
tau라는 값은 0.632까지 올라가는데 걸리는 시간이라는 것을 알 수 있습니다.
이 함수는 놀라운 발견입니다.
이러한 함수를 만들고
k값과 tau값을 찾게 된다면
시스템을 모델링 할수 있습니다.
방금 말씀드린 DC모터도 위의 수식으로 모델링이 가능합니다.
그리고 k와 tau만 찾으면 됩니다.
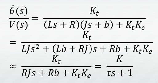
DC 모터는 모델링이 가능합니다.
아래와 같은 전기소자로 이루어진 모터는




그리고 놀랍게도 그 함수는 아래와 같습니다.
다시말해서 내가 전압을 0V에서 1V를 줄때
K rpm의 회전수가 나올것이고
그정도의 회전수의 63%에 도달할때까지
tau의 시간이 걸린다는 것을 의미합니다.

그리고 이것은 아래와 같이 수식화 가능합니다.
사실 복잡한 모델을 단순화 시켜서 해석하는 방법은
제어를 하는 과정에서 굉장히 유용한 방법입니다.

y1 = k(1-e^(-t/tau))
다시말해서 저 전달함수는 모터를 의 특성을 나타내고 있습니다.
K는 gain을 의미하고 tau는 동작시간을 나타내고 있습니다.
하나의 시스템을 나타내고 있습니다.
그렇다면 라플라스는 무엇이고 전달함수는 무엇인지 우리는 조금더 알 필요가 있습니다 ㅎㅎ
'Embedded SW > Control Theory' 카테고리의 다른 글
| Simulink를 이용한 전달함수 시뮬레이션 수행 방법 정리 (0) | 2022.09.22 |
|---|---|
| DC모터 모델링, 매트랩 전달함수 생성 후 그래프 확인 (0) | 2022.09.21 |
| 매트랩 기초 연습 (행렬 연산, 데이터 나누기, 그래프 그리기) (1) | 2022.09.20 |
| 매트랩이란? 매트랩 학생용 다운로드 및 라이센스 받는 방법 (1) | 2022.09.20 |
| 제어란 무엇인가? (임베디드 시스템 제어란?) (3) | 2022.09.20 |
댓글